Tuesday April 2026

হটলাইন

সেবা এবং ধাপ

নং শিরোনাম সেবার ধাপ কার্যকলাপ
  
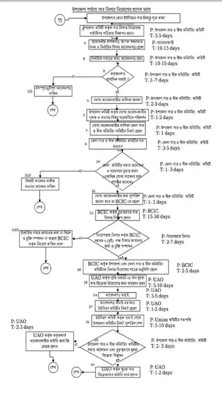
সার দেখুন
ফসলের জাত সম্প্রসারণ দেখুন
সমন্বিত ফসল ও বালাই ব্যবস্থাপনা দেখুন
উপেজলা পর্যায়ে কৃষি প্রযুক্তি সংক্রান্ত প্রশিক্ষণ দেখুন
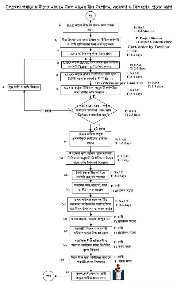
বীজ দেখুন
কৃষি উপকরণ বিতরণ দেখুন
মাটির স্বাস্থ্য ব্যবস্থাপনা কার্যক্রম দেখুন
দেখছেন ১ থেকে ৭ পর্যন্ত, মোট ৭ এন্ট্রি

এক্সেসিবিলিটি

স্ক্রিন রিডার ডাউনলোড করুন